Aquí teniu al llista ordenada:


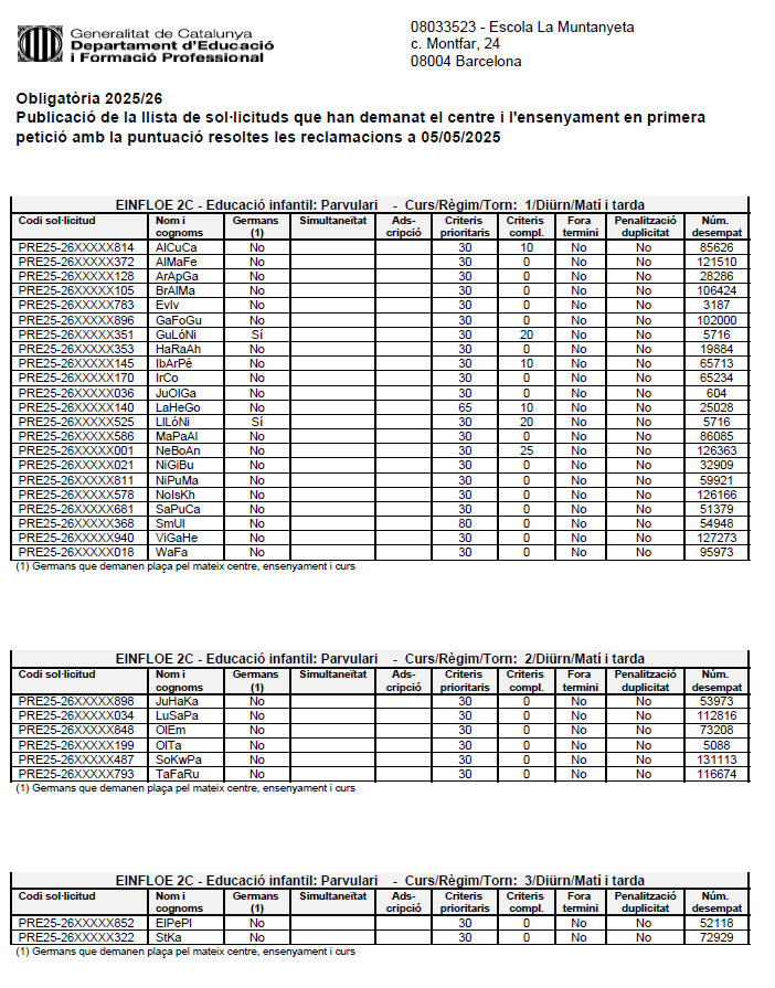
A continuació pengem la llista amb la puntuació un cop resoltes les reclamacions:


A continuació pengem la llista de les sol·licituds de preinscripció rebudes al nostre centre:


A continuació publiquem l’oferta inicial de places que oferim a la nostra escola per al proper curs 2026-2027:

